702 pages; Quantitative and Qualitative Treatments to Capital Markets; Some Notes on Matrices
Preview of Notes..
..
Toc:
The last post was an implementation of the traversal algorithms required in using our alpha graph, a part of a long series on advanced quantitative system development.
Our last market notes rounded up the study of abstract linear algebra, discussing matrix trace and determinants.
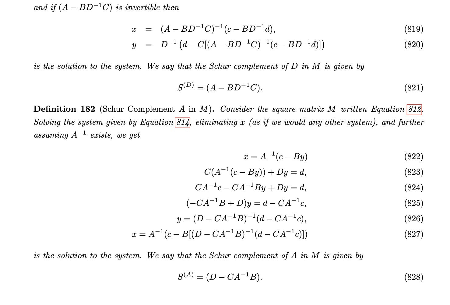
This week’s lecture notes look at some more advanced topics in the treatment of matrices, looking at Rayleigh Quotients, Schur complements and their implications. These topics will come out to be handy as we transition into the theory of convex optimisation.
Market Notes (Full, paid):




