Primer on Volatility Estimators
In our last market notes, we ran through some fundamentals in option theory:
In this post we will run through some popular volatility estimators, such as the
close-to-close Estimator
Parkinson Estimator
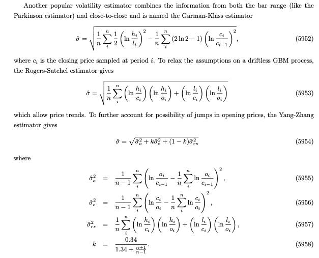
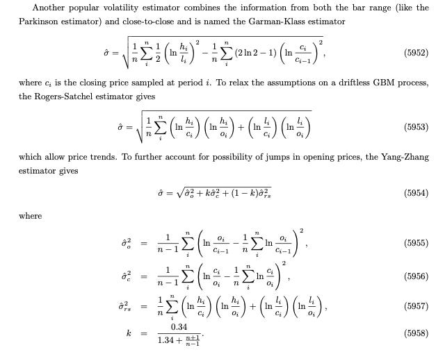
Garman-Klass Estimator
Rogers-Satchel Estimator
Yang-Zhang Estimator
Preview:
Download the notes here:
In the next post, we will implement the code for these estimators and try them out on SPY data. Code will be released to paid readers only.
Upcoming posts (1-2 weeks):
Implementation of volatility estimators
Formulaic Alpha report
Convex optimization notes
Options backtesting code
This is the full market notes, so that you can use a pdfviewer and conveniently jump to the references: (paid)



